Criminal Affidavit Template

Criminal Affidavit Fill Out And Sign Printable Pdf

Criminal Affidavit Fill Out And Sign Printable Pdf

Free 7 Sample Complaint Affidavit Forms In Pdf Ms Word

Free 7 Sample Complaint Affidavit Forms In Pdf Ms Word

2009 Form Az Lcr 1034a Fill Online Printable Fillable

2009 Form Az Lcr 1034a Fill Online Printable Fillable

Free 49 Affidavit Forms In Pdf Ms Word

Free 49 Affidavit Forms In Pdf Ms Word

Free Affidavit Of Truth Templates

Free Affidavit Of Truth Templates

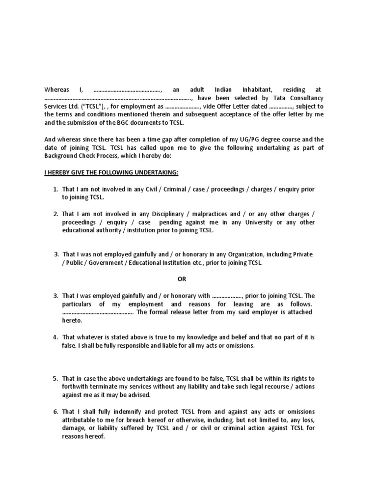
Tcs Affidavit Notarized Undertaking Format Witness

Tcs Affidavit Notarized Undertaking Format Witness

Tcs Affidavit Notarized Undertaking Format Witness

Like all affidavits the sample affidavit below allows the signer to swear that something is true or factual.

Criminal affidavit template. It doesnt matter if you type or print just fill in the blanks with a pen. Sworn statements called affidavits are used in criminal cases in a number of ways depending on rules of evidence in place in the jurisdiction where the case is located. Affidavit concerning criminal history this affidavit must be filed by all personal representatives and petitioners in all testate and intestate cases formal and summary administrations. It is required when you ask the court for extraordinary or extra special relief like removing someone from a home or protecting children from an abusive parent.

Affidavit in support of a criminal complaint and an arrest warrant. Make sure the text starts in the stamp paper. Signerssometimes called deponents or affiantscan certify the eligibility of a content entry verify the facts surrounding someones birth or even notify a court that an original document has been lost. Affidavit concerning criminal history i swear or affirm.

Insert a case caption. Courts affidavits usually cannot be submitted as direct evidence in a criminal trial unless the person who wrote the affidavit is. I am a special agent with the federal bureau of investigation fbi united states department of justice assigned to the washington field office. If youre preparing the affidavit to be submitted as part of a court case the heading at.

If you need an affidavit for a court case or other legal reasons preparing one is easy if you know the guidelines. Affidavits are legal documentation that can be used along with written witness statements to prove the truthfulness of a certain statement or fact in court of law. Whereas this court having considered the attached criminal affidavit and any sworn testimony taken and finding probable cause to believe that a crime has been committed and probable cause to believe that the defendant in the above styled case committed it you are hereby commanded. Make sure the text starts in the stamp paper.

My date of birth is i certify that i have not been convicted of any criminal offense initial excluding minor traffic offenses of less than eight 8 points but including any traffic offense in which drugs or alcohol were involved. How to write an affidavit. Basic purpose of the affidavit is to reflect the personal knowledge of the individual person making the statement towards a case. Asbury being duly sworn depose and state.

I have been employed by the fbi as a special agent since january 1991. What is a general affidavit. I swear or affirm. I certify that i have not been convicted of a felony.

A general affidavit is a written statement sworn to be true giving specific reasons to support the things you are asking a judge to do.

Free 5 Sample Criminal Complaint Forms In Ms Word Pdf

Free 5 Sample Criminal Complaint Forms In Ms Word Pdf

Affidavit In Support Of Criminal Complaint Arrest Warrant

Affidavit In Support Of Criminal Complaint Arrest Warrant

No Criminal Offense Affidavit

No Criminal Offense Affidavit

Criminal Affidavit Sabatino The Smoking Gun

Criminal Affidavit Sabatino The Smoking Gun

Criminal History Affidavit Fill Out And Sign Printable Pdf

Criminal History Affidavit Fill Out And Sign Printable Pdf

24 Sample Affidavit Forms

24 Sample Affidavit Forms

10 Affidavit Form Examples Pdf Examples

10 Affidavit Form Examples Pdf Examples

Fee Affidavit Form Texas Department Of Criminal Justice

Fee Affidavit Form Texas Department Of Criminal Justice

Affidavit In Support Of Motion Fill Online Printable

Affidavit In Support Of Motion Fill Online Printable

Green Card Affidavit Letter Sample Bagnas Affidavit Of

Green Card Affidavit Letter Sample Bagnas Affidavit Of

Sample Affidavit Letter From Friends Serversdborg Sample

Sample Affidavit Letter From Friends Serversdborg Sample

48 Free Affidavit Of Identity Forms Ms Word ᐅ Template Lab

48 Free Affidavit Of Identity Forms Ms Word ᐅ Template Lab

Criminal Complaint Afidavit Form Kuecvkr

Criminal Complaint Afidavit Form Kuecvkr

Application And Affidavit For Search Warrant Case Number 08

Application And Affidavit For Search Warrant Case Number 08

Fillable Online Tdcj State Tx Fee Affidavit Form Texas

Fillable Online Tdcj State Tx Fee Affidavit Form Texas

Source : pinterest.com

Popular Posts